• Страница 1 из 1
  • 1
Модератор форума: Назаров, Валентин, доброхот, Polukedov  
Мемориал Нейдек (чеш. Nejdek, нем. Neudek)
СаняДата: Воскресенье, 08 Февраля 2026, 22:13:16 | Сообщение # 1
Группа: Админ
Сообщений: 65535
Статус: Присутствует
Мемориал Нейдек (чеш. Nejdek, нем. Neudek)

Нейдек (чеш. Nejdek, нем. Neudek) — город в районе Карловы Вары Карловарского края Чехии.
https://ru.wikipedia.org/wiki/%D0%9D%D0%B5%D0%B9%D0%B4%D0%B5%D0%BA

Прикрепления: 4980773.webp (32.7 Kb)


Qui quaerit, reperit
 
СаняДата: Воскресенье, 08 Февраля 2026, 22:17:27 | Сообщение # 2
Группа: Админ
Сообщений: 65535
Статус: Присутствует
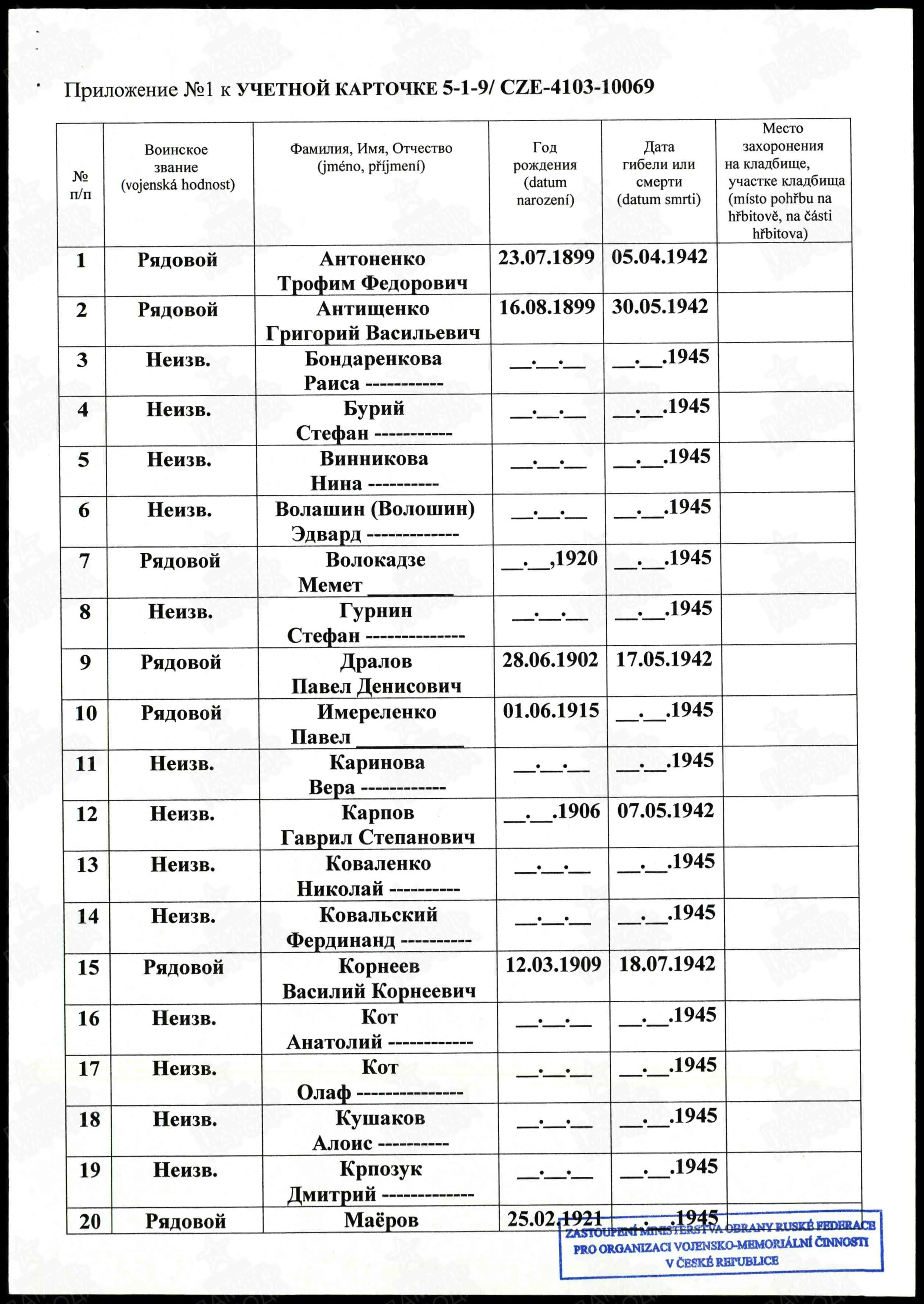
Информация о захоронении
ID 1167848057

Страна захоронения Чехия
Регион захоронения Карловарский край
Номер захоронения в ВМЦ З420-193/2014
Место захоронения Карловарский р-н, н/п Нейдек
Вид захоронения братская могила
Состояние захоронения хорошее
Количество могил 1
Захоронено всего 42
Захоронено известных 34
Захоронено неизвестных 8
Кто шефствует над захоронением Администрация н/п Нейдек
https://obd-memorial.ru/html/info.htm?id=1167848057



Прикрепления: 4714152.webp (188.1 Kb) · 9959367.webp (374.7 Kb)


Qui quaerit, reperit
 
СаняДата: Воскресенье, 08 Февраля 2026, 22:18:12 | Сообщение # 3
Группа: Админ
Сообщений: 65535
Статус: Присутствует


Прикрепления: 5355911.webp (377.8 Kb) · 9890296.webp (264.1 Kb)


Qui quaerit, reperit
 
СаняДата: Воскресенье, 08 Февраля 2026, 22:23:47 | Сообщение # 4
Группа: Админ
Сообщений: 65535
Статус: Присутствует
Памятник высотой 4 м представляет собой скульптуру
солдата с поднятой левой рукой с букетом цветов.
скульптура установлена на бетонной платформе высотой 0,5 м.
Два обелискa из природного камня высотой 2-2,5м.

9
мая 1975 года, в юбилейную 30-ю годовщину
освобождения Чехословакии Красной Арми-
ей, был торжественно открыт «Памятник ос-
вобождения». В церемонии приняли участие
более четырёх тысяч граждан. Главным элементом
скульптуры является статуя красноармейца с букетом
сирени. Авторы – Антонин и Гизеля Кухаржовы из
Карловых Вар. В открытии скульптуры участвовал
председатель краевого управления в Карловых Варах
Петр Гавличек, члены делегации города-побратима
Камышлова и делегация завода-побратима в Йоханге-
оргенштадте. Также там присутствовал и офицерский
состав. В левом углу отдельного сектора кладбища
в Нейдеке в братской могиле похоронен 31 красно-
армеец из лагеря военнопленных в Нейдеке. Удалось
установить имена 29 из них.
В 1948 году на местное кладбище были доставлены
останки советских граждан и красноармейцев из Нове-
Гамры, Халупок и Елени, которые были жестоко уби-
ты или замучены во время «маршей смерти» в послед-
ние дни войны. Также в северной части леса в деревне
Пржебуз в лесу у государственной границы есть мемо-
риал с надписью: «Мы не забудем». В этом месте были
похоронены пять советских военнопленных. В 1940 году
в деревне Ротава нацистские оккупанты создали рабочий
лагерь военнопленных, который существовал до 1945
года. Советские военнопленные работали на шахтах по
добыче оловянной руды. Останки трёх российских и од-
ного неизвестного украинского заключённых, погибших
в 1942-1943 годах, были также эксгумированы и похоро-
нены на военном кладбище в Нейдеке.
На месте их гибели в лесу установлен памятник –
большой камень, в верхней части которого находит-
ся пятиконечная красная звезда. На ней изображена
рука – ладонь с двумя прямыми пальцами (как бы за-
крученная). Под звездой установлена мемориальная
доска с именами пяти советских военнопленных,
убитых нацистами.







https://czech.mid.ru/%D0%A4%....%8F.pdf
Прикрепления: 2843705.webp (101.9 Kb) · 5312808.webp (108.0 Kb) · 3327679.webp (82.7 Kb)


Qui quaerit, reperit
 
  • Страница 1 из 1
  • 1
Поиск: