• Страница 1 из 1
  • 1
Модератор форума: Назаров, Валентин, Polukedov, доброхот  
Воинское захоронение Рощино
НазаровДата: Пятница, 03 Мая 2024, 05:27:42 | Сообщение # 1
Группа: Администратор
Сообщений: 46757
Статус: Отсутствует
Воинское захоронение Рощино

Рощино (до 1948 года Райвола, фин. Raivola) — посёлок в Выборгском районе Ленинградской области. Административный центр Рощинского городского поселения.
https://ru.wikipedia.org/wiki....%D1%8C)

https://www.google.com/maps....try=ttu


Николай Викторович
14 ОА ПВО 1974-1976
У России только два союзника - это Армия и Флот
 
НазаровДата: Пятница, 03 Мая 2024, 05:30:55 | Сообщение # 2
Группа: Администратор
Сообщений: 46757
Статус: Отсутствует
Информация о захоронении

Страна захоронения Россия
Регион захоронения Ленинградская обл.
Номер захоронения в ВМЦ 47-98/2014
Место захоронения Выборгский р-н, г.п. Рощинское, п.г.т. Рощино,
Мемориальное захоронение 8
Дата создания современного места захоронения __.04.1954
Дата последнего захоронения __.05.1954
Вид захоронения братское захоронение
Состояние захоронения удовлетворительное
Количество могил 1
Захоронено всего 243
Захоронено известных 243
Захоронено неизвестных 0
Кто шефствует над захоронением ООО "Взлет-ОРТ", ЗАО "Рощинострой",
Молодежный совет МО "Рощинское городское поселение", Першин С.В.
https://obd-memorial.ru/html/info.htm?id=89991648&p=1


Николай Викторович
14 ОА ПВО 1974-1976
У России только два союзника - это Армия и Флот
 
НазаровДата: Пятница, 03 Мая 2024, 06:34:38 | Сообщение # 3
Группа: Администратор
Сообщений: 46757
Статус: Отсутствует


Николай Викторович
14 ОА ПВО 1974-1976
У России только два союзника - это Армия и Флот
 
НазаровДата: Пятница, 03 Мая 2024, 06:36:44 | Сообщение # 4
Группа: Администратор
Сообщений: 46757
Статус: Отсутствует

фотографии плит:
https://funeral-spb.narod.ru/necropo....ya.html


Николай Викторович
14 ОА ПВО 1974-1976
У России только два союзника - это Армия и Флот
 
НазаровДата: Пятница, 03 Мая 2024, 06:51:39 | Сообщение # 5
Группа: Администратор
Сообщений: 46757
Статус: Отсутствует




Николай Викторович
14 ОА ПВО 1974-1976
У России только два союзника - это Армия и Флот
 
НазаровДата: Пятница, 03 Мая 2024, 06:53:42 | Сообщение # 6
Группа: Администратор
Сообщений: 46757
Статус: Отсутствует




Николай Викторович
14 ОА ПВО 1974-1976
У России только два союзника - это Армия и Флот
 
НазаровДата: Пятница, 03 Мая 2024, 06:55:57 | Сообщение # 7
Группа: Администратор
Сообщений: 46757
Статус: Отсутствует




Николай Викторович
14 ОА ПВО 1974-1976
У России только два союзника - это Армия и Флот
 
НазаровДата: Пятница, 03 Мая 2024, 07:24:26 | Сообщение # 8
Группа: Администратор
Сообщений: 46757
Статус: Отсутствует
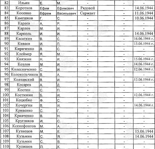
№ 232
Фамилия Черныш
Имя Михаил
Отчество Данилович
Дата рождения/Возраст __.__.1907
Воинское звание подполковник
Дата смерти 15.07.1944
Страна захоронения Россия
Регион захоронения Ленинградская обл.
Место захоронения Выборгский р-н, г.п. Рощинское, п.г.т. Рощино, Мемориальное захоронение 8
https://obd-memorial.ru/html/info.htm?id=89991892

Фамилия Черныш
Имя Михаил
Отчество Данилович
Дата рождения/Возраст __.__.1907
Место рождения Полтавская обл., Пирятинский р-н, с. Приходько
Дата и место призыва Полтавская обл., Пирятинский РВК
Последнее место службы 187 сп
Воинское звание подполковник
Место захоронения Карело-Финская ССР, Выборгский (Виипурский) р-н, д. Райвола, около озера, могила № 7
Причина выбытия умер от ран
Дата выбытия 15.06.1944
Первичное место захоронения Карело-Финская ССР, Выборгский (Виипурский) р-н, д. Райвола, около озера, могила № 7
Госпиталь 51 ОМСБ 72 сд
Название источника донесения ЦАМО
Номер фонда источника информации 58
Номер описи источника информации А-71693
Номер дела источника информации 209
https://obd-memorial.ru/html/info.htm?id=53555222


Николай Викторович
14 ОА ПВО 1974-1976
У России только два союзника - это Армия и Флот
 
НазаровДата: Пятница, 03 Мая 2024, 07:26:49 | Сообщение # 9
Группа: Администратор
Сообщений: 46757
Статус: Отсутствует
в числе неизвестных:
Фамилия Ставский
Имя Дмитрий
Отчество Петрович
Дата рождения/Возраст __.__.1900
Дата и место призыва Володарский РВК, г. Павлодар
Последнее место службы 211 мп 15 бр.
Воинское звание красноармеец
Место захоронения Карело-Финская ССР, Выборгский (Виипурский) р-н, д. Райвола, около озера, могила № 6
Причина выбытия умер от ран
Дата выбытия 15.06.1944
Первичное место захоронения Карело-Финская ССР, Выборгский (Виипурский) р-н, д. Райвола, около озера, могила № 6
Госпиталь 51 ОМСБ 72 сд
Название источника донесения ЦАМО
Номер фонда источника информации 58
Номер описи источника информации А-71693
Номер дела источника информации 209


Николай Викторович
14 ОА ПВО 1974-1976
У России только два союзника - это Армия и Флот
 
НазаровДата: Пятница, 03 Мая 2024, 09:36:43 | Сообщение # 10
Группа: Администратор
Сообщений: 46757
Статус: Отсутствует
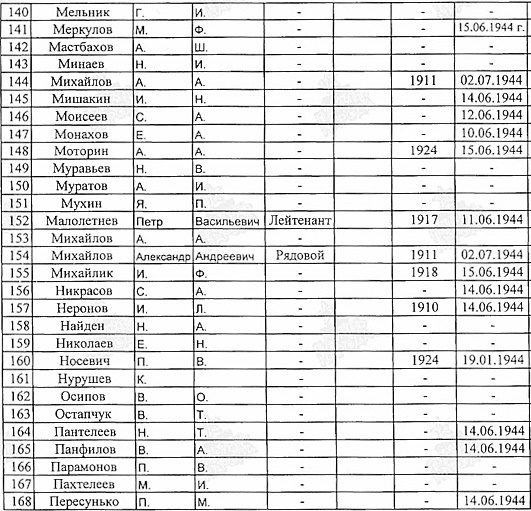
№ 221
Фамилия Устлашвилли
Имя Петр
Отчество Захарович
Воинское звание рядовой
Дата смерти 28.06.1944
Страна захоронения Россия
Регион захоронения Ленинградская обл.
Место захоронения Выборгский р-н, г.п. Рощинское, п.г.т. Рощино, Мемориальное захоронение 8
https://obd-memorial.ru/html/info.htm?id=89991880

Фамилия Усташвили
Имя Петр
Отчество Захарович
Дата рождения/Возраст __.__.1903
Место рождения Тбилисская обл., Сахареджевский р-н
Дата и место призыва 01.12.1942, Сагареджинский РВК, Грузинская ССР, Сагареджинский р-н
Последнее место службы 358 сд
Воинское звание красноармеец
Причина выбытия убит
Дата выбытия 28.06.1944
Первичное место захоронения Карело-Финская ССР, Тойвола, северо-восточнее, 500 м, безымянная высота, могила 445
Название источника донесения ЦАМО
Номер фонда источника информации 58
Номер описи источника информации 18002
Номер дела источника информации 1189
https://obd-memorial.ru/html/info.htm?id=3978520


Николай Викторович
14 ОА ПВО 1974-1976
У России только два союзника - это Армия и Флот
 
НазаровДата: Пятница, 03 Мая 2024, 09:53:49 | Сообщение # 11
Группа: Администратор
Сообщений: 46757
Статус: Отсутствует
№ 241
Фамилия Энштейн
Имя М.
Отчество А.
Страна захоронения Россия
Регион захоронения Ленинградская обл.
Место захоронения Выборгский р-н, г.п. Рощинское, п.г.т. Рощино, Мемориальное захоронение 8
https://obd-memorial.ru/html/info.htm?id=89991901

Фамилия Эпштейн
Имя Михаил
Отчество Абрамович
Дата рождения/Возраст __.__.1912
Место рождения Белорусская ССР, Могилевская обл.
Дата и место призыва __.__.1941
Последнее место службы 1325 лап
Воинское звание капитан
Причина выбытия погиб
Дата выбытия 14.06.1944
Название источника донесения ЦАМО
Номер фонда источника информации Картотека политработников
Номер описи источника информации Картотека политработников
Номер дела источника информации 018-26
https://obd-memorial.ru/html/info.htm?id=1914054226


Николай Викторович
14 ОА ПВО 1974-1976
У России только два союзника - это Армия и Флот
 
НазаровДата: Пятница, 03 Мая 2024, 10:16:27 | Сообщение # 12
Группа: Администратор
Сообщений: 46757
Статус: Отсутствует
№ 243
Фамилия Яичкин
Имя А.
Отчество Н.
Страна захоронения Россия
Регион захоронения Ленинградская обл.
Место захоронения Выборгский р-н, г.п. Рощинское, п.г.т. Рощино, Мемориальное захоронение 8
https://obd-memorial.ru/html/info.htm?id=89991903

Фамилия Яичкин
Имя Александр
Отчество Николаевич
Дата рождения/Возраст __.__.1922
Место рождения Вологодская обл., Усть-Кубинский р-н, Филисовский с/с, д. Борисково
Дата и место призыва __.12.1941, Усть-Кубинский РВК, Вологодская обл., Усть-Кубинский р-н
Последнее место службы 5 гв. адп РГК
Воинское звание мл. сержант
Причина выбытия убит
Дата выбытия 14.06.1944
Первичное место захоронения Карело-Финская ССР, Выборгский (Виипурский) р-н, д. Райвола, западная окраина д. Антала
Название источника донесения ЦАМО
Номер фонда источника информации 58
Номер описи источника информации 18002
Номер дела источника информации 489
https://obd-memorial.ru/html/info.htm?id=3934932


Николай Викторович
14 ОА ПВО 1974-1976
У России только два союзника - это Армия и Флот
 
НазаровДата: Пятница, 03 Мая 2024, 10:30:07 | Сообщение # 13
Группа: Администратор
Сообщений: 46757
Статус: Отсутствует
№ 239
Фамилия Шкарлет
Имя А.
Отчество У.
Дата рождения/Возраст __.__.1917
Дата смерти 17.06.1944
Страна захоронения Россия
Регион захоронения Ленинградская обл.
Место захоронения Выборгский р-н, г.п. Рощинское, п.г.т. Рощино, Мемориальное захоронение 8
https://obd-memorial.ru/html/info.htm?id=89991899

Фамилия Шкарлет
Имя Афанасий
Отчество Ульянович
Дата рождения/Возраст __.__.1917
Последнее место службы 98 тп
Воинское звание ст. сержант
Место захоронения п. Рощино, могила № 8
Причина выбытия убит
Дата выбытия 17.06.1944
Первичное место захоронения п. Рощино, могила № 8
Название источника донесения ВК Ленинградской обл.
Номер фонда источника информации Отдел по Выборгскому району
Номер дела источника информации 20000066
https://obd-memorial.ru/html/info.htm?id=1156480283


Николай Викторович
14 ОА ПВО 1974-1976
У России только два союзника - это Армия и Флот
 
НазаровДата: Пятница, 03 Мая 2024, 10:37:46 | Сообщение # 14
Группа: Администратор
Сообщений: 46757
Статус: Отсутствует
№ 124
Фамилия Лоскутников
Имя Д.
Отчество Н.
Дата смерти 14.06.1944
Страна захоронения Россия
Регион захоронения Ленинградская обл.
Место захоронения Выборгский р-н, г.п. Рощинское, п.г.т. Рощино, Мемориальное захоронение 8
https://obd-memorial.ru/html/info.htm?id=89991780

Фамилия Лоскутников
Имя Дмитрий
Отчество Николаевич
Дата рождения/Возраст __.__.1904
Место рождения Челябинская обл., Куртамышский р-н, с. Куртамыш
Дата и место призыва Куртамышский РВК, Челябинская обл., Куртамышский р-н
Последнее место службы 109 сд
Воинское звание рядовой
Причина выбытия убит
Дата выбытия 14.06.1944
Первичное место захоронения Ленинградская обл., Красногвардейский р-н, д. Марьино, северо-западнее, д. Райвола
Название источника донесения ЦАМО
Номер фонда источника информации 58
Номер описи источника информации 18002
Номер дела источника информации 514
https://obd-memorial.ru/html/info.htm?id=7007110


Николай Викторович
14 ОА ПВО 1974-1976
У России только два союзника - это Армия и Флот
 
НазаровДата: Пятница, 03 Мая 2024, 10:41:49 | Сообщение # 15
Группа: Администратор
Сообщений: 46757
Статус: Отсутствует
№ 167
Фамилия Пахтелеев
Имя М.
Отчество И.
Страна захоронения Россия
Регион захоронения Ленинградская обл.
Место захоронения Выборгский р-н, г.п. Рощинское, п.г.т. Рощино, Мемориальное захоронение 8
https://obd-memorial.ru/html/info.htm?id=89991824

Фамилия Пахтелев
Имя Михаил
Отчество Иванович
Дата рождения/Возраст __.__.1923
Место рождения Ленинградская обл., Лужский р-н, д. Наволоч
Дата и место призыва Лужский РВК, Ленинградская обл., Лужский р-н
Последнее место службы 109 сд
Воинское звание рядовой
Причина выбытия убит
Дата выбытия 14.06.1944
Первичное место захоронения Ленинградская обл., Красногвардейский р-н, д. Марьино, северо-западнее, д. Райвола
Название источника донесения ЦАМО
Номер фонда источника информации 58
Номер описи источника информации 18002
Номер дела источника информации 514
https://obd-memorial.ru/html/info.htm?id=7007105


Николай Викторович
14 ОА ПВО 1974-1976
У России только два союзника - это Армия и Флот
 
  • Страница 1 из 1
  • 1
Поиск: